首页 云南 正文
云南交警实名曝光:36人终生禁驾 多家运企违法上榜单
掌上春城    10-11 23:05:26

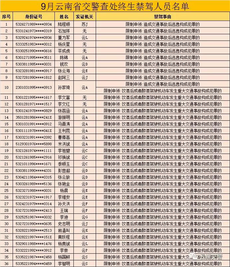
 10月11日,云南交警微信公众号实名曝光9月份全省终生禁驾人员名单、违法突出的“两客一危”车辆所属运输企业名单及九大典型案例。其中,被处以终生禁驾严厉处罚的共有36人。

终身禁驾人员名单

2018年9月,云南省共有36人受到终生禁驾的严厉处罚。

这36人分别因交通事故逃逸后构成犯罪、饮酒后或者醉酒驾驶机动车发生重大交通事故构成犯罪而被终生禁驾。

云南交警表示,这两种违法犯罪行为历来都为人民群众所深恶痛绝,公安交警部门将重拳出击,绝不手软!

5bbf4e0ae7c7d

交通违法数量排名前十的运输企业

5bbf4e25a7d9f

5bbf4e25f3d07

5bbf4e275a5d7

车辆超速违法突出的运输企业

1.云南玉溪交通运输集团公司(11起)

2.云南保山交通运输集团有限责任公司(8起)

3.昆明石林汽车服务有限责任公司(7起)

4.云南省玉溪华泰运输有限公司(6起)

5.富宁通达农村运输有限责任公司(5起)

6.云南文山交通运输集团公司(5起)

车辆超员违法突出的运输企业

1.陆良县青山客运有限责任公司(7起)

2.洱源汽车运输服务有限责任公司(7起)

3.曲靖市沾益区恒隆公共客运有限公司(6起)

4.西畴通达农村运输有限责任公司(5起)

5.宣威市民族汽车运输中心(5起)

6.云南曲靖交通集团有限公司(4起)

7.丘北通达农村运输有限责任公司(3起)

8.云南曲靖交通集团有限公司会泽分公司(3起)

9.云南曲靖交通集团有限公司宣威公司(3起)

10.建水县兴隆汽车运输有限公司(2起)

11.罗平县五联公共汽车客运有限公司(2起)

12.云南文山交通运输集团公司(2起)

13.富宁通达农村运输有限责任公司(2起)

14.兰坪县辉腾短途客运有限公司(2起)

15.云南昭通交通运输集团有限责任公司(2起)

16.云南曲靖交通集团有限公司富源客运分公司(2起)

17.维西县聚缘公共客运交通有限责任公司(2起)

18.盐津安达公共交通汽车运输有限责任公司(2起)

9月份全省“两客一危”车辆交通事故典型案例

9月份,全省“两客一危”车辆发生一般程序处理的道路交通事故9起,共造成2人死亡、27人受伤、直接财产损失7.27万元。

与去年同期相比,事故次数同比增加2起,死亡人数同比减少3人,受伤人数同比增加10人,直接财产损失同比减少0.92万元。全省“两客一危”车辆未发生较大以上交通事故。

(一)大理州巍山县“9·02”危化品运输车辆交通事故

9月2日,马某某驾驶南华县腾龙物流有限公司“云E18300”号重型危化品运输罐式货车,沿五印线由东向西行驶。8时55分许,当车行驶至五印线K19+950处时,车辆驶离路面,发生侧翻,造成1人受伤。

(二)丽江市古城区“9·04”旅游客运车辆交通事故

9月4日18时14分许,杨某某驾驶大理运通运输有限责任公司“云LL0756”号宇通牌旅游客车(核载38人,实载1人),行驶至丽江市古城区香格里大道与玉福路交叉口路段时,与和某某骑乘的自行车发生碰撞,造成1人受伤,两车受损的道路交通事故。

(三)临沧市云县“9·07”公路客运车辆交通事故

9月7日,赵某某驾驶临沧市交通运输集团公司云县分公司“云S16571”号中型普通客车(核载19人,实载7人),由云县驶往大朝山方向。17时20分,当车行驶至小大线K30+200处时,与前方横过道路的行人高某某发生碰撞,致1人死亡。

(四)昭通市镇雄县“9·08”公路客运车辆交通事故

9月8日,胡某某驾驶镇雄县安达运输有限责任公司“云CV2445”号小型普通客车(核载8人,实载5人),从镇雄县罗坎镇李子村经苍寒公路驶往镇雄方向。10时1分许,当车行驶至罗坎镇大庙村荒田路段时,与对向罗某某驾驶的无号牌红色轻便摩托相撞,造成2人受伤。

(五)昭通市昭阳区“9·14”公路客运车辆交通事故

9月14日,朱某驾驶云南昭通交通运输集团有限责任公司“云CX7922”号小型普通客车(核载8人,实载1人),沿昭阳区龙泉路由南向北行驶。16时24分许,当车行驶至三角地路口处时,与同向周某某驾驶的“云CU0032”号小型轿车尾随碰撞,造成1人受伤。

(六)迪庆州香格里拉市“9·15”公路客运车辆交通事故

9月15日,响某驾驶云南迪庆交通运输集团公司“云R16999”号大型卧铺客车(核载38人,实载30人),由丽江市驶往香格里拉市方向。5时30分许,当车行驶至西景线K2138+650处时,该车左后侧被从道路西侧山体自然滚落的石头砸中,造成1人死亡、1人受伤。

(七)鸡石通建高速“9·18”危化品运输车辆交通事故

9月18日,陆某某驾驶云南金鹿物流有限公司“云J20708”号重型危化品运输罐式货车,沿鸡石高速公路由石屏驶往鸡街方向。23时54分,当车行驶至鸡石高速公路K31+805处时,车辆碰撞道路中央钢质隔离护栏及道路交通监控设备后侧翻于对向车道内,造成1人受伤。

(八)大理州鹤庆县“9·26”公路客运车辆交通事故

9月26日,杨某某驾驶“云L011BX”号小型面包车(车辆挂靠鹤庆县金茂客运有限公司,核载7人,实载7人),沿大丽线由鹤庆县城驶往松桂方向。17时10分许,当车行驶至宁凤线K186+920处时,车辆与道路右侧护栏相撞,造成7人受伤。

(九)丽江市玉龙县“9·29”旅游客运车辆交通事故

9月29日,文某某驾驶香格里拉县朝圣越野车散客运输有限公司“云R21681”号中型普通客车(核载12人,实载12人),沿白丽线由拉市驶往丽江方向。16时40分许,当车行驶至白丽线K34+800处时,与对向由李某驾驶的“云P23743”号轻型普通货车相撞,造成2车13名驾乘人员不同程度受伤。(掌上春城 记者刘丽慧)

编辑:徐婷    责任编辑:
相关推荐