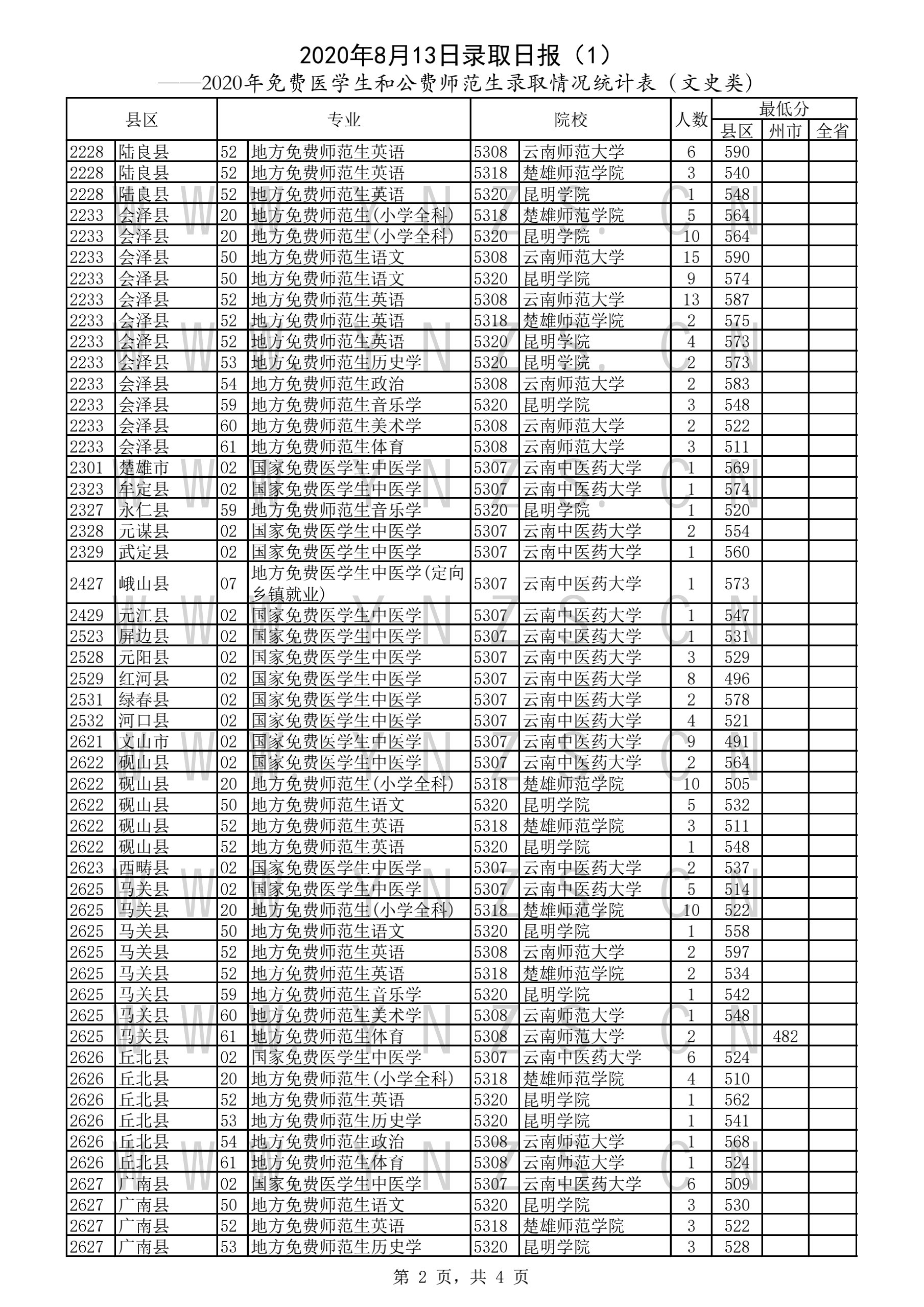
2020年8月13日,云南省招生考试院发布首次录取日报,包含免费医学生和公费师范生录取情况。









8月14日起,2020年普通高考录将进入第二阶段:
8月14日~18日
文科类、理科类
1.国家专项
2.地方专项
3.高校专项
艺术类、体育类
1.第一批本科
2.高水平批
云南省招生考试院提醒,上述录取日程安排中,录取时间以实际工作完成时间为准,征集志愿时间以正式通知为准,请考生在录取期间保持联系方式畅通,防止错过征集志愿时间。
此外,普通高考录取结果以云南省招生考试院公布的为准,请考生登录云南省招考频道(www.ynzs.cn)或“云南省招生考试院”微信公众号的高考录取查询栏目,按要求输入信息后,查询本人录取结果。(春城晚报-开屏新闻 记者罗南)