机关事业单位工作人员基本养老保险待遇申领指南
来源:昆明市呈贡区人力资源和社会保障局
机关事业单位工作人员基本养老保险待遇申领指南
1 办理条件
符合下列条件,机关事业单位可向参保的社会保险经办机构申领基本养老保险待遇:
a) 机关事业单位及其工作人员已按规定参加机关事业单位基本养老保险;
b) 工作人员已按照干部管理权限经组织人事部门批准退休;
c) 工作人员累计缴费年限(包括视同缴费年限和实际缴费年限)满180个月。
2 办理渠道
窗口办理、PC端办理。
3 办理时限
15个工作日。
4 收费标准
不收费。
5 申请材料
5.1 机关事业单位向所参保的社会保险经办机构提出核准领取基本养老保险待遇资格申请。
5.2 机关事业单位填写《机关事业单位工作人员领取养老保险待遇信息申报表》(A.1),并提供组织人事部门批准工作人员退休的文件。
6 联系电话
0871-67475795
7 办理地点和办理机构
呈贡区呈祥街515号政务服务中心B区人社窗口
8 结果送达
8.1 申请材料不齐全的,反馈《不予受理回执》。
8.2 不符合合机关事业单位基本养老保险待遇申领条件或者信息错误的,反馈《不予办理回执》。
8.3 核定并发放机关事业单位基本养老保险待遇的,反馈《云南省机关事业单位养老保险待遇核定表》。
9 相关法律法规、政策文件
本文件涉及到的法律法规、政策文件包括:
a) 《中华人民共和国社会保险法》(中华人民共和国主席令第三十五号)
b) 《国务院关于颁发<国务院关于安置老弱病残干部的暂行办法>和<国务院关于工人退休、退职的暂行办法>的通知》(国发〔1978〕104号)
c) 《国务院关于机关事业单位工作人员养老保险制度改革的决定》(国发〔2015〕2号)
d) 《人力资源社会保障部关于印发<机关事业单位工作人员基本养老保险经办规程>的通知》(人社部发〔2015〕32号)
e) 《人力资源社会保障部办公厅 财政部办公厅关于机关事业单位养老保险制度改革有关问题的通知》(人社厅发〔2016〕38号)
f) 《云南省人民政府关于印发<云南省机关事业单位工作人员养老保险制度改革实施办法>的通知》(云政发〔2015〕75号)
g) 《关于印发<云南省机关事业单位工资福利与退休管理规定>的通知》(云人〔2004〕42号)
h) 《云南省人力资源和社会保障厅关于印发<云南省机关事业单位工作人员基本养老保险经办管理办法>的通知》(云人社发〔2016〕269号)
i) 《云南省人力资源和社会保障厅 云南省财政厅关于转发人力资源社会保障部办公厅 财政部办公厅机关事业单位养老保险制度改革有关问题文件的通知》(云人社发〔2018〕10号)
附录A
A.1机关事业单位工作人员领取养老保险待遇信息申报表.xls
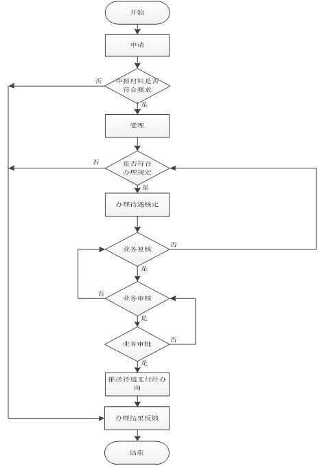
在职转退休(领待资格核准)办理流程图

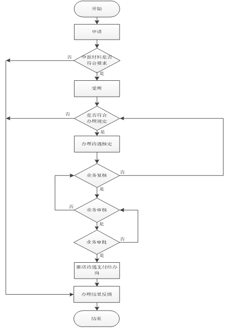
待遇核定办理流程图

A.2云南省城镇职工养老保险个人账户表.docx