工伤保险定期待遇恢复发放指南
来源:昆明市呈贡区人力资源和社会保障局
工伤保险定期待遇恢复发放指南
1办理条件
被暂停发放工伤保险定期待遇的工伤职工或者供养亲属,出现以下情形时,工伤(工亡)职工所在单位可向原发放待遇的社会保险经办机构申请恢复发放工伤保险定期待遇:
a) 工伤职工办理退休手续后,其按月领取的基本养老保险待遇低于伤残津贴,需由工伤保险基金补足差额的;
b) 领取供养亲属抚恤金的人员被判刑收监,现服刑期满被释放后仍符合领取抚恤金资格的;
c) 因失踪被暂停发放工伤保险定期待遇,现本人再次出现或者亲属能够提供其仍具有领取工伤保险定期待遇资格证明的;
d) 因未定期进行待遇领取资格确认的原因被暂停发放工伤保险定期待遇,现本人已进行待遇领取资格确认的。
2办理渠道
窗口办理。
3办理时限
22个工作日。
4收费标准
不收费。
5申请材料
申请人填写《云南省工伤保险待遇变更申报表》(见附录A表A.1),并提供以下材料:
a) 因疑似死亡、失踪、未定期进行待遇领取资格确认等原因被暂停发放待遇的,需提供本人在规定时限内进行待遇领取资格确认的资料;
b) 工伤职工因办理退休手续被暂停发放工伤保险定期待遇,如本人按月领取的基本养老保险待遇低于伤残津贴,需由工伤保险基金补足差额的,需提供基本养老保险待遇核定表;
c) 领取供养亲属抚恤金人员因涉嫌犯罪或被刑事处罚等原因被暂停发放待遇,如刑满释放仍符合领取抚恤金资格的,需提供司法部门出具的刑满释放证明等法律文书。
6结果送达
6.1 表格填写不完整不规范、申请材料不齐全的,反馈《不予受理回执》。
6.2 不符合恢复发放工伤保险定期待遇条件或者《云南省工伤保险待遇变更申报表》信息填写错误的,反馈《不予办理回执》。
恢复发放工伤保险定期待遇的,反馈《云南省工伤保险待遇补发(退回)清算核定表》。
7联系电话
0871-67475702
8办理地点和办理机构
呈贡区呈祥街515号政务服务中心B区人社窗口
9相关法律法规、政策文件
件涉及到的法律法规、政策文件包括:
a) 《中华人民共和国社会保险法》(中华人民共和国主席令第三十五号)
b) 《工伤保险条例》(中华人民共和国国务院令第586号)
c) 《人力资源社会保障部关于印发<工伤保险经办规程>的通知》(人社部发〔2012〕11号)
d) 《因工死亡职工供养亲属范围规定》(中华人民共和国劳动和社会保障部令第18号)
e) 《人力资源社会保障部办公厅关于印发<领取社会保险待遇资格确认经办规程(暂行)>的通知》(人社厅发〔2018〕107号)
f) 《云南省人民政府关于印发云南省实施<工伤保险条例>办法的通知》(云政发〔2011〕255号)
g) 《云南省人力资源和社会保障厅关于印发<云南省领取社会保险待遇资格确认经办规程(试行)>的通知》(云人社通〔2019〕112号)
h) 《云南省社会保险局关于做好养老保险待遇和工伤保险长期待遇资格确认工作的通知》(云社险发〔2021〕7号)
附录A
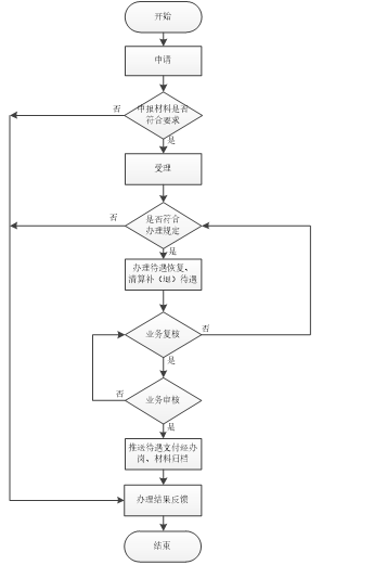
工伤保险定期待遇恢复流程图

云南省工伤保险待遇变更申报表.docx