让学习“自然发生”

要学会,更要会学。海青的外语教学注重听力、口语、外语素养的全面提升。学校把听说能力培养放在首位,结合原版国外教材,教师进行纯英文授课,让学生感受外语国际文化与运用实践魅力。

640

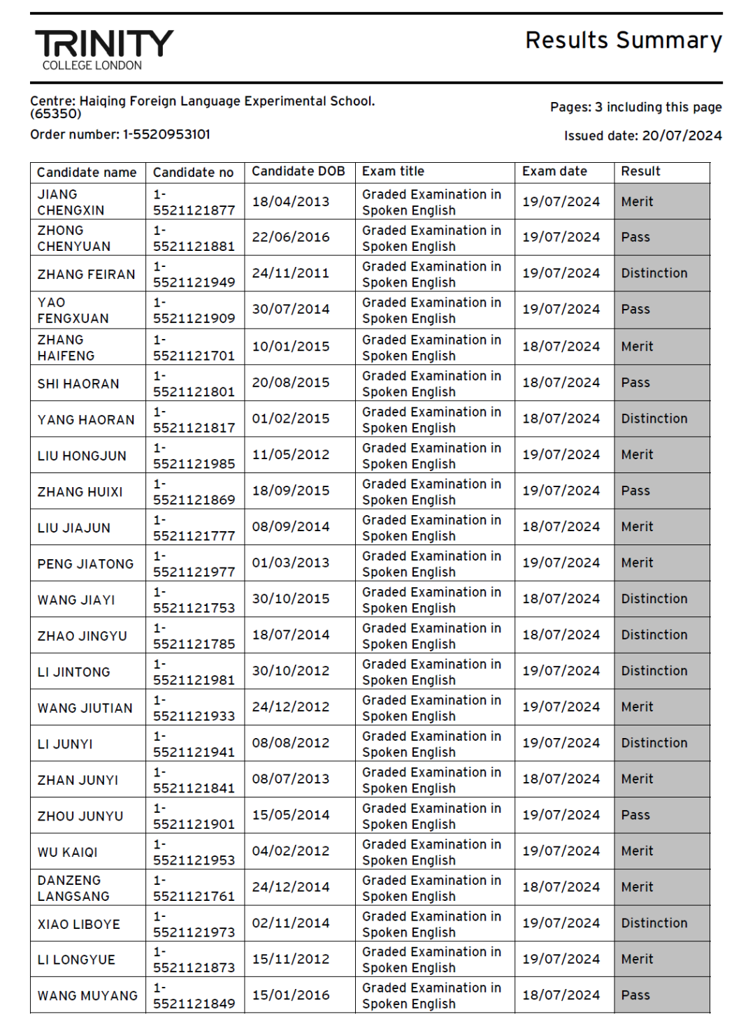
学校积极创设国际化口语交流模态平台,组织视听课、英语社团、外语戏剧表演、外教口语课,结合演讲、外语戏剧、英语国际模拟联合国辩论赛、英国伦敦圣三一学院英语口语等级考试(GESE)等活动,在浸润式语言环境中,培育学生综合外语核心素养,强化词汇、语法与笔试能力,让学习“自然发生”,触类旁通。

外语教学增加照片